Maven介绍
什么是Maven
Maven是一个项目管理工具,它包含了一个项目对象模型 (POM:Project Object Model),一组标准集合,一个项目生命周期(Project Lifecycle),一个依赖管理系统(Dependency Management System),和用来运行定义在生命周期阶段(phase)中插件(plugin)目标(goal)的逻辑。
Maven能解决什么问题
我们需要引用各种jar包,尤其是比较大的工程,引用的jar包往往有几十个乃至上百个, 每用到一种jar包,都需要手动引入工程目录,而且经常遇到各种让人抓狂的jar包冲突,版本冲突。
我们辛辛苦苦写好了Java文件,可是只懂0和1的白痴电脑却完全读不懂,需要将它编译成二进制字节码。好歹现在这项工作可以由各种集成开发工具帮我们完成,Eclipse、IDEA等都可以将代码即时编译。当然,如果你嫌生命漫长,何不铺张,也可以用记事本来敲代码,然后用javac命令一个个地去编译,逗电脑玩。
世界上没有不存在bug的代码,计算机喜欢bug就和人们总是喜欢美女帅哥一样。为了追求美为了减少bug,因此写完了代码,我们还要写一些单元测试,然后一个个的运行来检验代码质量
再优雅的代码也是要出来卖的。我们后面还需要把代码与各种配置文件、资源整合到一起,定型打包,如果是web项目,还需要将之发布到服务器,供人蹂躏。
试想,如果现在有一种工具,可以把你从上面的繁琐工作中解放出来,能帮你构建工程,管理jar包,编译代码,还能帮你自动运行单元测试,打包,生成报表,甚至能帮你部署项目,生成Web站点,你会心动吗?Maven就可以解决上面所提到的这些问题。
Maven的优势举例
前面我们通过Web阶段项目,要能够将项目运行起来,就必须将该项目所依赖的一些jar包添加到工程中,否则项目就不能运行。试想如果具有相同架构的项目有十个,那么我们就需要将这一份jar包复制到十个不同的工程中。我们一起来看一个CRM项目的工程大小。
使用传统Web项目构建的CRM项目如下:
原因主要是因为上面的WEB程序要运行,我们必须将项目运行所需的Jar包复制到工程目录中,从而导致了工程很大。
同样的项目,如果我们使用Maven工程来构建,会发现总体上工程的大小会少很多。如下图
Maven的两个精典作用
Maven的依赖管理
Maven的一个核心特性就是依赖管理。当我们涉及到多模块的项目(包含成百个模块或者子项目),管理依赖就变成一项困难的任务。Maven展示出了它对处理这种情形的高度控制。
传统的WEB项目中,我们必须将工程所依赖的jar包复制到工程中,导致了工程的变得很大。那么maven工程是如何使得工程变得很少呢?
通过分析发现:maven工程中不直接将jar包导入到工程中,而是通过在pom.xml文件中添加所需jar包的坐标,这样就很好的避免了jar直接引入进来,在需要用到jar包的时候,只要查找pom.xml文件,再通过pom.xml文件中的坐标,到一个专门用于”存放jar包的仓库”(maven仓库)中根据坐标从而找到这些jar包,再把这些jar包拿去运行。
问题1: ”存放jar包的仓库”长什么样?
存放jar包的仓库长什么样,这一点我们后期会分析仓库的分类,也会带大家去看我们的本地的仓库长什么样。
问题2:会不会很慢?
通过读取pom.xml 文件中的坐标,再到仓库中找到jar包,会不会很慢?从而导致这种方式不可行!
通过pom.xml文件配置要引入的jar包的坐标,再读取坐标并到仓库中加载jar包,这样我们就可以直接使用jar包了,为了解决这个过程中速度慢的问题,maven中也有索引的概念,通过建立索引,可以大大提高加载jar包的速度,使得我们认为jar包基本跟放在本地的工程文件中再读取出来的速度是一样的。这个过程就好比我们查阅字典时,为了能够加快查找到内容,书前面的目录就好比是索引,有了这个目录我们就可以方便找到内容了,一样的在maven仓库中有了索引我们就可以认为可以快速找到jar包。
项目的一键构建
我们的项目,往往都要经历编译、测试、运行、打包、安装 ,部署等一系列过程。
什么是构建?
指的是项目从编译、测试、运行、打包、安装 ,部署整个过程都交给maven进行管理,这个过程称为构建。
一键构建
指的是整个构建过程,使用maven一个命令可以轻松完成整个工作。
Maven的使用
Maven的安装
Maven软件的下载
为了使用Maven管理工具,我们首先要到官网去下载它的安装软件。通过百度搜索“Maven“如下:
点击Download链接,就可以直接进入到Maven软件的下载页面:
Maven软件的安装
Maven下载后,将Maven解压到一个没有中文没有空格的路径下,比如D:\software\maven下面。
解压后目录结构如下:
bin:存放了maven的命令,比如我们前面用到的mvn tomcat:runboot:存放了一些maven本身的引导程序,如类加载器等conf:存放了maven的一些配置文件,如setting.xml文件lib:存放了maven本身运行所需的一些jar包
至此我们的maven软件就可以使用了,前提是你的电脑上之前已经安装并配置好了JDK。
Maven及JDK配置
配置MAVEN_HOME ,变量值就是你的maven安装 的路径(bin目录之前一级目录)
上面配置了我们的Maven软件,注意这个目录就是之前你解压maven的压缩文件包在的的目录,最好不要有中文和空格。
Maven软件版本测试
通过 mvn -v命令检查 maven是否安装成功,看到maven的版本为3.5.2及java版本为1.8即为安装成功。
找开cmd命令,输入mvn –v命令,如下图:
Maven仓库
Maven仓库的分类
maven的工作需要从仓库下载一些jar包,如下图所示,本地的项目A、项目B等都会通过maven软件从远程仓库(可以理解为互联网上的仓库)下载jar包并存在本地仓库,本地仓库 就是本地文件夹,当第二次需要此jar包时则不再从远程仓库下载,因为本地仓库已经存在了,可以将本地仓库理解为缓存,有了本地仓库就不用每次从远程仓库下载了。
本地仓库 :
用来存储从远程仓库或中央仓库下载的插件和jar包,项目使用一些插件或jar包,优先从本地仓库查找
默认本地仓库位置在 ${user.dir}/.m2/repository,${user.dir}表示windows用户目录。
远程仓库:
如果本地需要插件或者jar包,本地仓库没有,默认去远程仓库下载。远程仓库可以在互联网内也可以在局域网内。
中央仓库 :
在maven软件中内置一个远程仓库地址http://repo1.maven.org/maven2 ,它是中央仓库,服务于整个互联网,它是由Maven团队自己维护,里面存储了非常全的jar包,它包含了世界上大部分流行的开源项目构件。
Maven本地仓库的配置
在MAVE_HOME/conf/settings.xml文件中配置本地仓库位置(maven的安装目录下)
打开settings.xml文件,配置如下
全局setting与用户setting
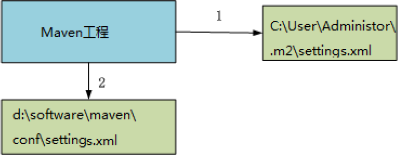
maven仓库地址、私服等配置信息需要在setting.xml文件中配置,分为全局配置和用户配置。
- 在maven安装目录下的有
conf/setting.xml文件,此setting.xml文件用于maven的所有project项目,它作为maven的全局配置。 - 需要个性配置则需要在用户配置中设置,用户配置的setting.xml文件默认的位置在:
${user.dir} /.m2/settings.xml目录中,${user.dir}指windows 中的用户目录。
maven会先找用户配置,如果找到则以用户配置文件为准,否则使用全局配置文件。
Maven工程的认识
Maven工程的目录结构
作为一个maven工程,它的src目录和pom.xml是必备的。
进入src目录后,我们发现它里面的目录结构如下:
src/main/java—— 存放项目的.java文件src/main/resources—— 存放项目资源文件,如spring, hibernate配置文件src/test/java—— 存放所有单元测试.java文件,如JUnit测试类src/test/resources—— 测试资源文件target—— 项目输出位置,编译后的class文件会输出到此目录pom.xml——maven项目核心配置文件
注意:如果是普通的java项目,那么就没有webapp目录。
Maven工程的运行
进入maven工程目录(当前目录有pom.xml文件),运行tomcat:run命令
根据上边的提示信息,通过浏览器访问:http://localhost:8080/maven-helloworld/
Maven常用命令
我们可以在cmd中通过一系列的maven命令来对我们的maven-helloworld工程进行编译、测试、运行、打包、安装、部署。
compile
compile是maven工程的编译命令,作用是将src/main/java下的文件编译为class文件输出到target目录下。
cmd进入命令状态,执行mvn compile,如下图提示成功:
查看 target目录,class文件已生成,编译完成。
test
test是maven工程的测试命令 mvn test,会执行src/test/java下的单元测试类。
cmd执行mvn test执行src/test/java下单元测试类,下图为测试结果,运行1个测试用例,全部成功。
clean
clean是maven工程的清理命令,执行 clean会删除target目录及内容。
package
package是maven工程的打包命令,对于java工程执行package打成jar包,对于web工程打成war包。
install
install是maven工程的安装命令,执行install将maven打成jar包或war包发布到本地仓库。
从运行结果中,可以看出:当后面的命令执行时,前面的操作过程也都会自动执行
Maven指令的生命周期
maven对项目构建过程分为三套相互独立的生命周期,请注意这里说的是“三套”,而且“相互独立”,这三套生命周期分别是:Clean Lifecycle 在进行真正的构建之前进行一些清理工作。Default Lifecycle 构建的核心部分,编译,测试,打包,部署等等。Site Lifecycle 生成项目报告,站点,发布站点。
maven的概念模型
Maven包含了一个项目对象模型 (Project Object Model),一组标准集合,一个项目生命周期(Project Lifecycle),一个依赖管理系统(Dependency Management System),和用来运行定义在生命周期阶段(phase)中插件(plugin)目标(goal)的逻辑。
项目对象模型 (Project Object Model)
一个maven工程都有一个pom.xml文件,通过pom.xml文件定义项目的坐标、项目依赖、项目信息、插件目标等。
依赖管理系统(Dependency Management System)
通过maven的依赖管理对项目所依赖的jar 包进行统一管理。
比如:项目依赖junit4.9,通过在pom.xml中定义junit4.9的依赖即使用junit4.9,如下所示是junit4.9的依赖定义:
1 | <!-- 依赖关系 --> |
一个项目生命周期(Project Lifecycle)
使用maven完成项目的构建,项目构建包括:清理、编译、测试、部署等过程,maven将这些过程规范为一个生命周期,如下所示是生命周期的各各阶段:
maven通过执行一些简单命令即可实现上边生命周期的各各过程,比如执行mvn compile执行编译、执行mvn clean执行清理。
- 一组标准集合
maven将整个项目管理过程定义一组标准,比如:通过maven构建工程有标准的目录结构,有标准的生命周期阶段、依赖管理有标准的坐标定义等。 - 插件(plugin)目标(goal)
maven 管理项目生命周期过程都是基于插件完成的。
idea开发maven项目
idea的maven配置
打开File->Settings配置maven
依据图片指示,选择本地maven安装目录,指定maven安装目录下conf文件夹中settings配置文件。
idea中使用骨架创建一个maven的web工程
step1: 打开idea,选择创建一个新工程
step2: 选择idea提供好的maven的web工程模板
step3: 点击Next填写项目信息
step4: 点击Next,此处不做改动
step5: 点击Next选择项目所在目录
step6: 点击Finish后开始创建工程,耐心等待,直到出现如下界面。
step7: 手动添加src/main/java目录,如下图右键main文件夹->New Directory
step8: 创建一个新的文件夹命名为java
step9: 点击OK后,在新的文件夹java上右键-> Make Directory as->Sources Root
创建一个Servlet
src/java/main创建了一个Servlet,但报错
要解决问题,就是要将servlet-api-xxx.jar包放进来,作为maven工程应当添加servlet的坐标,从而导入它的jar
在pom.xml文件添加坐标
直接打开hello_maven工程的pom.xml文件,再添加坐标
添加jar包的坐标时,还可以指定这个jar包将来的作用范围。
每个maven工程都需要定义本工程的坐标,坐标是maven对jar包的身份定义,比如:入门程序的坐标定义如下:
1 | <!--项目名称,定义为组织名+项目名,类似包名--> |
坐标的来源方式
添加依赖需要指定依赖jar包的坐标,但是很多情况我们是不知道jar包的的坐标,可以通过如下方式查
从互联网搜索
http://search.maven.org/
http://mvnrepository.com/
网站搜索示例:
IDEA中不使用骨架创建创建maven的web工程
step1: 选择New->Module
step2: 选择Maven->Next,注意这里不勾选骨架
step3: 点击Next->Finish
step4: 点击右键->Add Framework Support(添加框架支持)
step5: 选择Web Application->OK
完整的目录结构如下所示:
依赖范围
A依赖B,需要在A的pom.xml文件中添加B的坐标,添加坐标时需要指定依赖范围,依赖范围包括
compile:编译范围,指A在编译时依赖B,此范围为默认依赖范围。编译范围的依赖会用在编译、测试、运行,由于运行时需要所以编译范围的依赖会被打包。provided:provided依赖只有在当JDK或者一个容器已提供该依赖之后才使用, provided依赖在编译和测试时需要,在运行时不需要,比如:servlet api被tomcat容器提供。runtime:runtime依赖在运行和测试系统的时候需要,但在编译的时候不需要。比如:jdbc的驱动包。由于运行时需要所以runtime范围的依赖会被打包。test:test范围依赖 在编译和运行时都不需要,它们只有在测试编译和测试运行阶段可用,比如:junit。由于运行时不需要所以test范围依赖不会被打包。system:system范围依赖与provided类似,但是你必须显式的提供一个对于本地系统中JAR文件的路径,需要指定systemPath磁盘路径,system依赖不推荐使用。
在maven-web工程中测试各各scop。
测试总结:
- 默认引入 的jar包 ——-
compile【默认范围 可以不写】(编译、测试、运行 都有效 ) - servlet-api 、jsp-api ——-
provided(编译、测试 有效, 运行时无效 防止和tomcat下jar冲突) - jdbc驱动jar包 —-
runtime(测试、运行 有效 ) - junit —–
test(测试有效)
依赖范围由强到弱的顺序是:compile>provided>runtime>test
项目中添加的坐标
设置jdk编译版本
本教程使用jdk1.8,需要设置编译版本为1.8,这里需要使用maven的插件来设置:
在pom.xml中加入
1 | <build> |
编写servlet
在src/main/java中创建ServletTest
编写jsp
在web.xml中配置servlet访问路径
添加tomcat7插件
此时点击idea最右侧Maven Projects,就可以看到我们新添加的tomcat7插件
双击tomcat7插件下tomcat7:run命令直接运行项目
也可以直接点击如图按钮,手动输入tomc7:run命令运行项目
maven工程运行调试
断点调试
点击如图所示选项
在弹出框中点击如图加号按钮找到maven选项
在弹出窗口中填写如下信息
完成后先Apply再OK结束配置后,可以在主界面找到我们刚才配置的操作名称。
如上图红框选中的两个按钮,左侧是正常启动,右侧是debug启动。
Maven遇到的问题
IDEA 创建 MAVEN 项目卡在 Generating project in Batch mode
解决方法:修改 setting.xml文件,把 mirror 改成阿里的镜像。
打开 maven 目录下的 conf/setting.xml,注意要是 idea 使用的 maven。
搜索
<mirrors>;找到<mirrors>。在<mirrors>节点下添加。
1 | <mirror> |
- 运行 MVN 命令的时候加上
-DarchetypeCatalog=local这个参数。在 IDEA 中:
